close
商品編號:06600006

山茶花文具店

ツバキ文具店
作者 小川糸
譯者 王蘊潔
出版日 2017-08-01
定價 $340
優惠價 79折 $269
  • 分享至
數量
加入購物車

相關專欄

  • 試閱

書活網特推

雙書合購,心滿意足 75折

        



重在個性,不在字跡--
為了替本書故事角色尋找發聲中文字跡,圓神舉辦為期10天誠徵「筆優」的活動,5天內就吸引將近四千人點閱。
約莫250封投稿雪片般飛來,有人呼朋引伴,有人說自己很久沒有坐在桌前寫字了,看著一封封寫著範例「我會在遙遠的天空下,為妳的幸福祈禱」,小編不禁望著癡迷。(甚至差點想要翻出紙筆也寫上一段)
而這些獲選的筆優,又與山茶花小編歷經多少磨難呢?感謝代筆人的代筆人幕後

記得第一次讀《山茶花文具店》時,腦中很快浮現一些疑問:
「這些廠牌真的都存在嗎?」「書信和工具的搭配為什麼是這樣?」
一一搜尋後,才知道凡是書中指名道姓的工具和店家全都是真實存在的。

--〈御用奶油簾紋紙是什麼?可以吃嗎?
山茶花小編踩點鎌倉,尋找《山茶花文具店》代筆實物〉


〈博客來選書〉山茶花小編筆記:輕柔卻扎實的連擊

到現在,我仍無法在父親面前寫字。父親不但是我書法啟蒙的老師,也是我一直以來寫字的標準所在。尤其讀到後半,看到鳩子稱之為「上代」的外祖母寫給筆友的信,以及鳩子最後寫給上代的那封信時,我哭泣的程度連自己都感到意外。

我是否想藉著「把字寫得漂亮」向父親證明什麼?

看更多

內容簡介

★誠品選書推薦.博客來選書推薦.Openbook選書.金石堂年度影響力好書

★超越森見登美彥、西加奈子、原田舞葉等知名作家,榮獲2017本屋大賞TOP 4的暖心物語!

★作者小川糸以自己在鎌倉居住的經驗為基礎打造的最新長篇作品!書中附有手繪鎌倉導覽圖與十六封手寫書信,將手寫的溫度與感動表達得淋漓盡致!

★2017年4月,NHK改編為日劇《山茶花文具店──鎌倉代筆人物語》,由多部未華子主演。

★小野(作家)、銀色快手(荒野夢二書店店主)、石芳瑜(永樂座書店店主)、夏琳(南崁1567小書店店主)、張鐵志(作家)、羅素素(晃晃書店店主) 有溫度推薦

★喜歡和風、喜歡文具與書信,也喜歡美食的人必讀的一冊!

★為了用中文展現原書書信之美,公開徵求中文「筆優」,短短10天即有高達250人投稿!

不論是想說出口的「謝謝」,還是說不出口的「抱歉」,
那些無法言說的話語,就由我為您投遞吧──

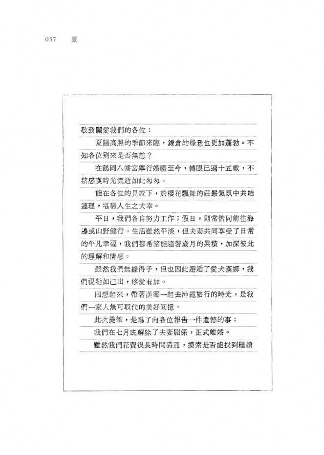
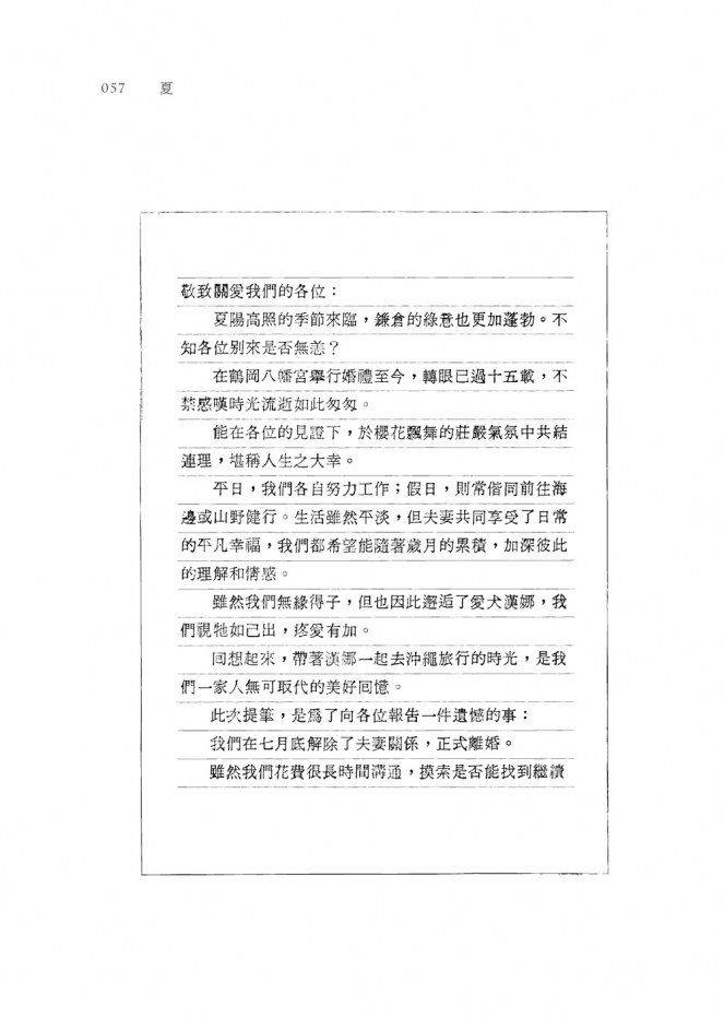
雨宮家是源自江戶時代、有悠久歷史的代筆人,專為將軍正室與側室代筆書信,且傳女不傳男,代代皆由女性繼承家業。上代是我的外祖母;至於我,當我回過神時,發現自己已莫名其妙變成了第十一代傳人。

現在的代筆人和以前大不相同,舉凡紅包袋、招牌、獎狀、店家的問候明信片,甚至連日式餐廳的菜單都照接不誤。當然,為無法親自寫信的委託人代筆書信,讓他們的心意能順利傳達出去,也是山茶花文具店的業務範圍。

像是那位想讓無緣的舊情人知道「我很好」「希望妳過得幸福」的溫文男士;

為了讓彼此真正自由,而下定決心與對方絕交的匿名小姐;

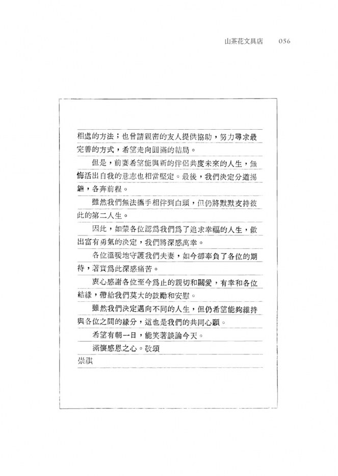
決定以手寫信函向親友報告離婚一事的男子;

想替亡父寫一封「天國情書」給母親的兒子……

表面上經營的是一家文具店,但是說白了,其實就是和文字相關的打雜工。

然而,對於曾叛逆離家,甚至連上代過世時都不在她身邊的我來說,住在這個家裡經營文具店,心裡其實是充滿糾結的啊……

情書、絕交信、慰問信、來自天堂的信……
身為雨宮家第十一代傳人的鳩子,
今天依舊打開山茶花文具店的大門,接受來自各方的委託。

〔名人好評推薦〕

小野(作家)、銀色快手(荒野夢二書店店主)、石芳瑜(永樂座書店店主)、夏琳(南崁1567小書店店主)、張鐵志(作家)、羅素素(晃晃書店店主) 有溫度推薦

〔讀者★★★★★推薦〕  如詩,如風,距離感剛好,溫度剛好

‧這般如詩的作品,沒有不讀它的可能。

‧書中充滿溫柔的氣息,書中人物對生活的看法、對人事物的思念,全都編織成精心安排的書信傳達了出來。就像一陣清爽宜人的微風拂過心頭。

‧這部作品最大的特色,就是透過一封封親筆書信,將委託人的背景與心境,以及依此而選擇的各種工具、字體、書寫方式全部凝聚在一起。

‧這個故事,由「靜謐」開始,隨著委託人陸續登場,故事的色彩也變得豐富起來,並且帶往讀者料想不到之處。而這些人的出現,也讓主角有機會與自己和解,並成為自己向前邁步的動力,安排真的非常巧妙。

‧不只是療癒,感覺自己的心就像被什麼洗滌過似的,最後還不知為何淚流滿面。在這個什麼都用通訊軟體和電子郵件往來的世界裡,書寫、寄出、等待回覆的這段時間不僅讓人期待、心跳不已,簡直就是種美好的浪費。

作者簡介 小川糸

作家。甫踏入文壇,出道作《蝸牛食堂》便成為超級暢銷書,不但於2011年獲得義大利書報亭文學獎,並於2013年獲得法國尤金妮.布哈吉耶小說獎。其他作品包括:《喋喋喃喃》《白色沙灘旁的龜鶴助產院》《趁熱品嚐》《再見了,我》《彩虹花園》《馬戲團之夜》,散文《與企鵝生活》《這樣的夜》《黃昏啤酒》《今天的天空色彩》《這樣就很幸福:小川糸的減少生活29條》,繪本《蝴蝶》《瑪德蓮與魔法糕點》等多部作品。

個人官網:「糸通信」http://www.ogawa-ito.com

譯者簡介 王蘊潔

樂在一個又一個截稿期串起的生活,用一本又一本譯介的書寫下人生軌跡,旁觀譯作數字和三高指數之間的競賽。譯有《山茶花文具店》《流》《永遠的0》《解憂雜貨店》《空洞的十字架》《哪啊哪啊神去村》《名叫海賊的男人》等多部作品。

著有:《譯界天后親授!這樣做,案子永遠接不完》

臉書交流專頁:綿羊的譯心譯意

看更多

得獎紀錄

★2018博客來年度翻譯文學類Top8

★2018金石堂文學Top50

★全國高中職100師長閱讀推薦Top100

金石堂2017年度十大影響力好書,得獎理由:

文字如同寫字人的分身,其代筆者處處留心的細節,讓大家重新回憶書寫的心意,用生命凝聚成書信,扎實地寫進讀者的心。

誠品選書推薦.博客來選書推薦.

誠品翻譯文學Top3.博客來文學類Top4

Openbook閱讀誌推薦:

以手寫信件為主梗的設定,先天就拿下80分,加上小川系的鎌倉感文字,一下子就突破100分,再加上中文「筆優」們的出色表現,評分機制就立馬崩壞了……還是找個靜靜的午後角落,一個人,一本書,懷念一下那個一去不返的沙沙歲月。

《山茶花文具店》雅潔地寫活了「書寫」在社會關係中的角色。在「捉刀」之必要下,書寫是調解且具實用目的性的服務工作。看似與高舉作者個人意志、強調「不受外力影響」的創作大相逕庭,實則不無辯證之妙:難道不是所有的執筆人,都該有代筆的靈魂嗎?清淺有味的本書,深意亦雋永。

看更多

規格

商品編號:06600006
ISBN:9789861336275
288頁,25開,中翻,平裝,書衣
看更多

各界推薦

【像一杯溫度剛好的茶】  永樂座書店店主  石芳瑜

我也是喜歡寫字的人。雖然現在用著鍵盤打字,可是在閱讀《山茶花文具店》時,總不時興起要拿出紙筆的衝動。想起小學時寫毛筆,磨墨時聞到的香氣,還有握著毛筆認真想把字寫好的記憶,一直到現在,我都還以自己能夠寫出不難看的字為榮。電腦時代,書寫式微,作者小川糸透過「代筆人」這個職業,藉由不同的委託人的故事,讓我們重新體會書寫的溫度。

書中每一個故事,從紙張、用筆(或鉛字)、墨水、下筆力道,到封緘的方式,當然還有最重要書信內容,書中的主角鳩子都一一講究。小川糸對職人的描寫一點都不馬虎,但她的文字卻平實簡單,或許正如她對「代筆人」這個職業的描述:「即使寫得一手靚字,如果別人都看不懂,就稱不上是精粹,反而變成一種庸俗。」簡單明瞭最重要!小川糸或許奉行這樣的文學觀吧。

除了書寫的工具等細節,小川糸對食物也多有著墨,空腹時閱讀,聽得到自己肚子咕嚕叫的聲音。

強調人與人之間接觸的溫度,或許實體書店和「山茶花文具店」也有相同的經營哲學,所以讀這本書,格外令我感動。小川糸簡潔的文字,像一杯溫度剛好的茶,杯子冒著熱氣,握在手中,一口接著一口喝下,身子暖了,心也暖了,許多記憶中的人便像螢火蟲一樣發出小小的亮光,在眼前閃爍。


【如何以書信做為橋梁,才是重點所在】  南崁1567小書店店主  夏琳

一家老舊的文具店,除了販售不起眼的文具,這家文具店歷代老闆還有一項重要的營業項目——代筆。

顧客上門告知書寫內容,代筆人代為捉刀、構思文字內容、書信呈現方式,就連紙質、墨水顏色、郵票年份式樣都有所琢磨和講究。寫字,在今日現代化的日本不是已經人人都會的事,這年代還需要這麼講究,親自手寫嗎?!明明這年頭連拿筆的機率都很少了啊。在鐮倉山邊一隅的山茶花文具店裡,年紀輕輕的繼承人仍堅持傳統,而客人也堅信新一代代筆人必定能為他們完成這項專業工作。

代筆人什麼文字工作都可以接,不管是日式料理店的菜單、離婚信、弔唁信、絕交信,或是鄰居家兒子找工作時的履歷表,都可以做。字要寫得漂亮是基本,如何以一封書信,充分擔任委託人與收件人兩者之間的橋梁,才是重點所在。代筆人的專業、為委託人完成任務時所在意的各項細節、小鎮生活,以及與上代的感情糾葛,形成了一篇篇具有人文深度的溫馨故事,延續小川糸的風格,療癒、恬淡,又蘊涵濃厚情感與溫度,很能輕鬆閱讀的一本書。

看更多

試閱

我住在位於丘陵山麓的一間獨幢小房子裡,地址屬於神奈川縣鎌倉市。雖說在鎌倉,但我住在靠山的那一帶,離海邊很遠。

以前我和上代一起住在這裡,但上代在三年前去世,如今我獨自住在這幢老舊的日式家屋中。因為隨時可以感受左鄰右舍的動靜,所以並不特別覺得孤單。雖然入夜之後,這一帶就像鬼城,籠罩在一片寂靜中,但天一亮,空氣便開始流動,到處傳來人們說話的聲音。

換好衣服、洗完臉後,在水壺裡裝水、放在爐上煮滾,是每天早晨必做的事。趁著燒開水時,拿起掃把掃地、擦地,把廚房、緣廊、客廳和樓梯依次打掃乾淨。

打掃到一半時,水煮開了,於是暫停打掃,把大量開水沖進裝有茶葉的茶壺中。在等待茶葉泡開的這段時間,再度拿起抹布擦地。

直到把衣服丟進洗衣機後,才終於能坐在廚房的椅子上,喝上一杯熱茶。茶杯裡飄出焙炒的香氣。我直到最近才開始覺得京番茶好喝,雖然小時候難以理解上代為什麼要特地煮這種枯葉來喝,但現在,即使是盛夏季節,清晨要是不喝一杯熱茶,身體就無法甦醒。

晾完衣服後,馬上去倒垃圾。名為「垃圾站」的垃圾堆放處位在流經這一帶中心的二階堂川橋下。

倒完垃圾,剛好是小學生背著書包,排隊經過我家門口去上學的時間。小學就在離我家走路幾分鐘的地方,走進山茶花文具店的客人,大部分都是就讀這所小學的學童。

我再度打量自己的家。

對開的老舊門板上半部鑲著玻璃,左側寫著「山茶花」三個字,右側寫著「文具店」。店如其名,門口的確種了一棵高大的山茶樹,守護著這個家。


我叫雨宮鳩子。

上代為我取了這個名字。

名字的來歷,當然就是鶴岡八幡宮的鴿子。八幡宮本宮樓門上的「八」字,是由兩隻鴿子靠在一起組成的。又因為〈鴿子波波〉這首童謠的關係,所以從我懂事的時候開始,大家就叫我「波波」。

雨宮家是源自江戶時代、有悠久歷史的代筆人。

這個職業在古代稱為「右筆」,專門為達官顯貴和富商大賈代筆;靚字—寫一手好字當然成為首要條件。當年,鎌倉幕府裡也有三位優秀的右筆。

到了江戶時代,大奧中也有專為將軍正室和側室服務的女性右筆。雨宮家的第一代代筆人,就是在大奧服務的女性右筆之一。

自此之後,雨宮家傳女不傳男,代代皆由女性繼承代筆人這份家業。上代是第十代,我繼承了她的衣缽;不,實際上是當我回過神時,發現自己莫名其妙變成了第十一代代筆人。

以血緣關係來說,上代是我的外祖母,但是從小到大,她從不允許我輕鬆地叫她一聲「阿嬤」。上代在從事代筆人業務的同時,一個人把我撫養長大。

只不過現在的代筆人和以前大不相同,舉凡替客戶在紅包袋上署名、寫雕刻在紀念碑上的文章、寫有新生兒與父母名字的命名紙、招牌、公司經營理念和落款之類的文字,都成為主要的業務內容。

只要是寫字的工作,上代來者不拒,不管是老人俱樂部頒發給門球冠軍的獎狀,還是日式餐廳的菜單,或是鄰居家兒子找工作時用的履歷表,她都照接不誤。

雖然表面上開了一家文具店,但是說白了,其實就是和文字相關的打雜工。


我在六歲時第一次拿毛筆。上代說,多練字就可以進步,於是在六歲那一年的六月六日,我拿起有生以來第一枝自己專用的毛筆。那是用我的胎毛製作的毛筆。

我至今仍然清楚記得當天的事。

吃完營養午餐,從學校一回到家,上代已準備好新襪子在家裡等我。那是一雙很普通的長筒襪,只有小腿旁繡了一隻兔子而已。當我換上新襪子後,上代緩緩地對我說:

「鳩子,妳來這裡坐。」

她的表情從來不曾像那一刻般如此嚴肅。

我聽從上代的指示,在矮桌上鋪好墊板、放上宣紙,再用文鎮壓住。我模仿上代的樣子,自己動手完成這一連串作業。硯臺、墨條、毛筆和紙整齊地排放在面前。這四樣東西稱為「文房四寶」。

我在聽上代說明時,拚命克制焦急的心情。不知道是否因為興奮的關係,我甚至不覺得腿麻。

磨墨的時間終於到了。用硯滴把水倒進硯臺的墨堂。這是我夢寐以求的磨墨時間。墨條摸起來那種有點涼涼的感覺讓我內心悸動不已。我一直想試試磨墨。

在此之前,上代禁止我碰觸她的代筆工具。看到我拿毛筆在腋下搔癢,就會馬上把我關進儲藏室,有時甚至不准我吃飯。但是,她越叫我不能靠近,我就越想靠近,越想親手摸一摸。

在這些工具中,最吸引我的就是墨條。那塊黑色的東西含在嘴裡不知道是什麼味道?一定比巧克力、比糖果更美味。我滿懷確信地這麼認為,而且愛死了上代磨墨時飄來那股淡淡的、難以形容的神祕香氣。

所以,對我來說,六歲那年的六月六日,是我盼望已久的書法初體驗。雖然手上拿著夢寐已求的墨條,卻怎麼也磨不好,上代對我大發雷霆。

雖然只是在墨堂磨完墨後,再推入儲墨的墨池這麼極其簡單的動作,但六歲的我怎麼也做不好。斜斜地握著墨條,想磨得快一點,但上代立刻打我的手,我根本無暇把墨條含在嘴裡嘗味道。

這天,上代要我在宣紙上不停寫「○」。就像在寫平假名的「の(no)」一樣,持續不斷地畫圈。當上代撐住我的右手時,我可以輕鬆畫圈,但輪到我自己寫的時候,線條就變得歪七扭八,就像迷路似的;粗細也不一,時而像蚯蚓,時而像蛇,有時候甚至像鼓著肚子的鱷魚,筆下的圓圈一點都不穩定。

筆管不要倒下,要筆直豎起來。

手肘抬高。

不要東張西望。

身體正面朝前。

注意力集中在呼吸上。

越是想要同時完成上代的所有要求,我的身體越容易傾斜,呼吸節奏紊亂,動作也變得畏首畏尾。眼前的宣紙上寫滿了畸形怪狀的圓圈。因為一直重複相同的事,所以開始感到厭倦。畢竟我當時才讀小學一年級。

所以,六歲那一年的六月六日,這個第一次練書法的日子,並沒有成為一個燦爛輝煌的日子,但我為了不辜負上代的期待,之後仍然刻苦練習。

終於能夠一口氣把順時針的圓圈寫成相同的大小後,又開始用相同的方式練習逆時針的圓圈。

圓圈的練習結束後,又接受了逐一練習平假名的特別訓練,直到能完美寫出所有平假名。

一開始先把紙放在上代為我寫的範本上照樣摹寫,之後再看著範本臨摹,最後即使不看範本,也能夠默寫出來。通過上代的考核後,才終於能接著寫下一個平假名。

我花了大約兩年時間,才終於能漂亮地寫出五十音的平假名和片假名。小學三年級那年的夏天,我正式開始練習漢字。

只要遇到長假,上代的熱忱就更是旺盛。我沒有時間和同學一起去游泳或是吃刨冰,所以也沒有結交任何能很有自信稱為「閨密」的朋友。班上的同學應該都覺得我很陰沉、不起眼、缺乏存在感吧。

我第一個練習的漢字是「永」字。接著又反覆練習了「春夏秋冬」和自己的名字「雨宮鳩子」,直到可以寫出漂亮的字體為止。

平假名和片假名的字數有限,但漢字無窮無盡,簡直就像踏上了沒有終點、永無止境的旅程。而且,除了楷書,還有行書和草書。不同書體的筆順也各不相同,根本永遠學不完。

我的小學時代幾乎都在練字中度過。

回想起來,那時候的我沒有任何愉快的回憶。上代對我耳提面命,說只要耽誤一天,就要花三天的時間才能補回來,所以即使去校外教學或修學旅行時,也都帶著自來水筆,背著老師偷偷練書法。我一直相信這是天經地義的,從來不曾懷疑過。

我一邊回想起陳年往事,一邊端正姿勢,開始磨墨。

上代教我的書信禮儀第一課,就是要正確無誤地書寫收件人的名字。

上代不厭其煩地告訴我,信封是一封信的體面,所以必須寫得特別仔細優美,字跡清晰。

寫每一張明信片的地址時,都要稍微調整位置,讓收件人的姓名能夠剛好位在明信片正中央。


上代徹底追求字體的優美,至死不渝;但也隨時提醒自己不能自命清高、孤芳自賞。

即使寫得一手靚字,如果別人完全看不懂,就無法稱得上是精粹,反而會變成一種庸俗。

這句話是上代的口頭禪。不論字寫得再好,若心意無法傳達給對方,就失去了意義。所以,她平時雖會練習草書,但實際進行代筆工作時,幾乎不曾用草書寫過。

簡單明瞭最重要,以及代筆人不是書法家這兩件事,是我從小就牢記在心的,所以也一直遵守上代的教誨,寫信封時的筆跡特別清晰,而且使用任何郵差都能夠一目了然的楷書。


有一次,我對上代頂嘴。那是我高中一年級的時候。

「這就是騙人嘛!全都是假的,根本是在說謊!」

在此之前,我順從地遵守、聽從上代的吩咐。那是我第一次反抗。

「如果妳覺得這是騙人也無所謂,但是,有人就算想寫信也沒辦法自己寫。自古以來,代筆人就像所謂的影武者,跟戰國時代武將和大名的替身一樣。這些人絕對無法曝光,卻對他人的幸福有所幫助,是受到感謝的職業。」

上代說完後,以送禮的點心為例向我解釋。

「鳩子,妳聽我說。」上代目不轉睛看著我的雙眼。「比方說,為了表達內心的感謝,我們會帶一盒糕點給對方。這種時候,通常會去自己覺得好吃的店家買來送人,不是嗎?也許有人很擅長自己做,會帶親手製作的糕點;但是,買來的糕點難道就無法表達誠意嗎?」

雖然上代這樣問我,但我答不上來,只能沉默地等她接著往下說。

「對不對?即使無法帶自己親手製作的糕點,只要在店裡認真挑選,同樣充滿了真心誠意。

「代筆人也一樣。

「能夠順利表達自己心情的人當然沒有問題,但是,代筆人是為無法做到這一點的人代筆。因為有時候,這樣更能向對方傳達內心的想法。

「鳩子,我雖然能理解妳說的話,但如果像妳說的那樣,會讓世界變得狹隘。

「俗話不是說『術業有專攻』嗎?只要有人需要請別人代筆寫信,我就會繼續當代筆,就只是這麼簡單。」

我可以感覺到,上代很努力地向我傳達重要的事;雖然我無法理解她說的每一句話,但能大致了解她想表達的意思。

最重要的是,我能夠理解她用糕餅店來比喻的方式。當時的我認為,代筆人就和糕餅店差不多。

我不經意地抬起頭,和放在佛壇上的遺照四目相接。

上代和壽司子姨婆一起看著我。上代露出嚴肅的表情,壽司子姨婆則面帶微笑,好像剛吃完什麼好吃的東西。雖然她們是同卵雙胞胎姊妹,但性格南轅北轍。

上代在不到一歲時,被送到雨宮家當養女。聽說她們自懂事起,便從來沒有一起玩過,或是一起吃飯、洗澡。上代絕口不提這件事,就連平時很健談的壽司子姨婆,也不太願意談這件事。

直到我上國中後,她們才又開始來往。

如今,她們兩姊妹一起埋葬在上代為自己準備的永久供養墓中,即使沒有後代祭拜,廟方也會永久祭祀、管理。先一步離開人世的上代在墓中迎接了壽司子姨婆。

她們在生前約好。雖然曾經一起生活在母胎裡,但出生後分隔兩地,共同生活的時間很少,所以希望死後能葬在一起。


高中二年級的夏天,我開始真正地反抗起上代。這是遲來的叛逆期。在此之前,從拿筷子到說話,乃至舉手投足,上代都對我嚴加管教,我也努力回應她的要求。但是,某天開始,我終於忍無可忍。

「死老太婆,囉嗦死了,妳給我閉嘴!」

以前努力壓抑在內心的咒罵竟然脫口說了出來。我也被自己的舉動嚇到了,但話語既出,就無法再收回了。

「不要把妳的人生強加在我頭上!」

我把自己手上的毛筆重重地甩在榻榻米上,對她破口大罵。那是用我的胎毛製作的紀念筆。

「都什麼年代了,還在當代筆人?笑死人了!」

這次,我用力往放在旁邊的書信盒一踩,踩爛了上面鑲嵌的鴿子。

班上的同學經常去山上和海邊玩,就連幾個在班上不起眼、但平時和我關係還不錯的同學,也興奮地相約要安排去迪士尼玩個兩天一夜;我暗戀的一個美術社的男生也會參加。雖然他們也邀我同行,但我當然只能拒絕。

我忍不住冷靜思考,為什麼在這麼熱的天氣裡,我還要刻苦練習這些自己根本不喜歡的書法?打從出生起便一直悶在內心的憤怒和疑問,就像岩漿般一口氣噴了出來,就連我自己也無法阻止。

我衝出家門,騎著腳踏車,直奔車站前的速食店。一拿到漢堡,便大口塞進嘴裡,幾乎沒有咀嚼,配著可樂便吞了下去。在這之前,我一直遵守上代的規定,從來沒吃過漢堡,也不曾喝過可樂。

那天之後,我變成了不良少女。我把裙腰一摺再摺,讓裙子變得極短;穿上泡泡襪、把頭髮染成棕色,又去打了耳洞。學生鞋的鞋跟總是踩在腳下,好讓自己看起來更邋遢;指甲則擦上了鮮豔的指甲油。當時正是年輕女生流行把皮膚曬得黝黑的「一○九辣妹」全盛時期。

以前的我,在班上樸素而不起眼,根本沒人注意我,沒想到突然變了一個人,班上同學和周遭的人都大吃一驚。我徹底顛覆了過去的形象,在「一○九辣妹」之路上狂奔。

上代和我為了這件事不知道吵架、打架了多少次,我還曾一把推開她、抓住她的手臂抵抗。那是我人生第一次的「抗議行動」,是為了正義進行抗爭。

那時候,如果不用某種方式報復奪走我青春的上代,我就嚥不下那口氣。同時,我也想要讓失去的青春重來一次:我想穿自己喜歡的衣服、按自己想要的方式化妝、吃自己想吃的食物。

變成不良少女後,沒有人想跟我做朋友,所以我始終獨來獨往。同學應該都對我露出好奇的眼神,對這樣的我敬而遠之。雖然現在回想起來,會為那樣的自己感到無地自容,但當時甚至無暇感到羞恥。

高中畢業、進入設計相關專業學校的同時,我也從「一○九辣妹」畢業了。


秋天,或許是個會讓人想寫信的季節。

這一陣子連續接到代筆的工作。

前來委託的多半是留言條、對方發生不幸時的問候信、找工作失敗的鼓勵信,以及為自己在酒後失態道歉的信,把很難當面說出口的話訴諸文字。

也有客人委託我寫一封平淡無奇的信。

「妳可以為我寫很普通的信嗎?」

園田先生很委婉地說。

「我只想告訴她,我還活著。」

他平靜而穩重的說話聲,就像美麗山丘上吹過的一絲微風。

「要寫給誰?」

我也模仿園田先生小聲說話。

「我的青梅竹馬。雖然我們曾經私定終生,但最後並沒有走上紅毯。後來,我娶了其他女人、生了孩子;聽說她最近也找到了另一半,在北國的城市過著幸福的生活。事到如今,我並不打算吹皺一池春水。我們已經有二十多年沒見面,只是想告訴她,我身體很健康。」

既然這樣,你完全可以自己寫這封信。

雖然這句話已經到了嘴邊,但我並沒有說出口。他一定有什麼難言之隱。

「雖然現在說這種話很難為情,但當時我真的很喜歡她。明明已決定和她共度餘生。可是⋯⋯」

園田先生低下頭,沒有繼續說下去。

小鳥剛才就在門外嘰嘰喳喳。看牠走起路來搖著尾巴,不停拍打地面的樣子,猜想應該是鶺鴒。

最近的天空已經有了秋天的味道。山茶花文具店也到了差不多該使用火爐的時候,否則太冷了。

園田先生雖然沒有表現出心慌意亂的樣子,但我在等待他心情恢復平靜的這段時間,去後方泡了紅茶。上午出門採買時,順便去長嶋屋買了大福回來,於是放在懷紙上,一起端了出來。

把紅茶倒進古色古香的紅茶杯後,山茶花文具店裡彌漫著陽光般的香氣。

「不嫌棄的話,請用茶。」

我把紅茶和大福端到他面前,祈禱這樣能讓他心情放鬆。希望他不討厭吃甜食。

我也喝著熱紅茶,吃著自己那份豆大福。包在外頭的麻糬還很蓬鬆柔軟。

普通的信。

委託我代筆的信,幾乎都是有什麼隱情,聽到客人委託要寫「普通的信」,反而有點緊張。

「要寫什麼內容呢?有沒有特別想要提的事?」

我一邊拂去嘴唇上沾到的白色粉末,一邊問園田先生。

「雖然我說隨便寫什麼都沒關係,聽起來有點像是在自暴自棄,但真的只要寫一些平淡無奇的內容就好。她很喜歡信。學生時代,我們曾經談過一段時間的遠距離戀愛,她幾乎每天都寫信給我,但我懶得動筆寫信,所以只要偶爾寫信給她,她就會樂不可支,然後回一封長長的信,告訴我她有多高興。有時候也會在信裡夾些壓花。但是,如果現在我自己寫信給她,會覺得有點對不起我太太⋯⋯」

「我了解了。」

我點了點頭,園田先生繼續說道:

「而且,我希望是女人的筆跡。」

「女人的筆跡?」

我不懂這句話的意思,忍不住反問。委託代筆的客人若是男性,寫字時通常也要比較男性化。園田先生補充:

「我相信她現在一定很幸福,所以,我絕對不希望破壞她的幸福生活。如果她的先生看到用男性筆跡寫給她的私人信件,一定會很在意。尤其是自己不認識的人寫信給太太,心情必定會很複雜,如果因為這件事影響了他們的夫妻關係,不是很令人難過嗎?」

我深深點了點頭。

「幸好我的名字叫『薰』;園田薰,這是我的本名。

「所以,即使她的先生先看到信,如果是女人的字,再看到園田薰這個名字,就會以為是她以前的同學或女性朋友,也就不會產生不必要的懷疑。櫻當然馬上就會知道是我寫的信。對了,我要寄信的對象,她的名字叫『櫻』。」

「原來是這樣,你說的有道理。」

我不由得表示同意。

他並不是想和對方重修舊好,也不是要向對方告白,只是想寫一封很普通的信。園田先生喝著有些冷掉的紅茶,露出了淡淡的微笑,就像含苞待放的山茶花。

「我也想了很多。」

他的笑容真的很溫柔。我相信收到園田先生這封普通書信的櫻女士也很幸福。

我為他倒第二杯紅茶時,聽他說了他們之間的回憶,和園田先生的日常生活。

最後,請他留下了櫻女士目前的住址和姓名。

「她結婚之後,名字變成了『佐倉櫻』。」

園田先生看著自己留下的地址姓名,笑著說道。我低頭一看,便條紙上寫著「佐倉櫻」 ,姓氏和名字的發剛好一樣,都是「Sakura」。

園田先生喝完杯中剩下的紅茶後,語帶遲疑地問:

「我可以把這個帶回去嗎?」

園田先生細長的手指指著懷紙上的栗子大福。

「我女兒最愛吃了。」

園田先生有自己的生活,那個世界裡並沒有櫻女士;而櫻女士也沒有選擇成為「園田櫻」的人生。

喜歡吃和菓子的女兒,一定在等園田先生回家。

「請便,請便,我去拿保鮮膜過來。」

我起身準備走到後頭。

「這樣就可以了。」

園田先生已經攤開懷紙,把大福包了起來。

「費用呢?」

園田先生問。

「隨時都可以,改天你來這附近時,順便繞過來一下就行了。」

我送園田先生離開時回答道。

其實園田先生不需要這麼大費周章,只要透過網路,就有很多方法可以連絡到櫻女士。有很多人用這種方式找到了斷絕音訊的初戀情人,甚至因此開始交往。

園田先生並沒有這麼做。我相信櫻女士應該也不樂見這種事。

這或許會是封充滿體貼的信,充滿為了避免雙方越線、為了自律,也為了不影響對方的體貼。

接下來的這幾天裡,我都和園田先生形影不離。

當然不是和真正的園田先生。

從園田先生的溫柔、用字遣詞,到他的面容和氣味,我希望能把他的一切傳遞給櫻女士。書信,就像是寄信人的分身。

園田先生說,他即將住院。他並沒有告訴我詳細的病名,也說是沒有生命危險的疾病;卻讓他這輩子活到現在,第一次認真思考死亡這件事,於是發現:原來自己還惦記著櫻女士。

園田先生直視著我的眼睛說,即使萬一不幸失去了生命,他也不希望自己有遺憾。

我猜想是因為他即將動手術,所以心情有點起伏。

園田先生露出靦腆的笑容。

我覺得他說的是實話。無論再小的手術,既然要打麻醉、要用手術刀剖開肚子,就很難保持平常心,也難免會想到最壞的情況。如果沒有這種契機,園田先生可能沒有機會寫信給櫻女士。

我在思考園田先生的事時,上代的事突然掠過腦海。

她在晚年也動了手術,但是,我並沒有陪伴在她身旁。

就我自己的情況來說,代客寫信時,一旦對信件的內容有了大致的概念,就會由決定用什麼筆開始,進入實際的作業程序。即使書寫的內容相同,用原子筆、鋼筆或毛筆來寫,會有完全不同的印象。基本上,用鉛筆寫信很失禮,所以鉛筆不列入考慮。

猶豫再三,我決定用玻璃筆寫信給櫻女士。因為我覺得玻璃筆最能傳達園田先生那分純淨溫柔的心意,我希望讓這封信成為園田先生送給櫻女士的小禮物。

難得有機會從上代傳承給我的書信盒裡,拿出沉睡其中的玻璃筆。玻璃筆呢,是由一整根玻璃製造完成的。

原本以為玻璃筆是歐洲發明的筆記用品,沒想到最初是在日本誕生的。明治三十五年(一九○二年),風鈴工匠佐佐木定次郎先生發明了玻璃筆,很快就流傳到法國和義大利,廣為流行。

筆尖的八根毛細溝槽吸附墨水後,就可以寫出文字。雖然不是常用的書寫工具,但在關鍵時刻使用,特別有感覺。而且上代擁有的是一枝纖細華美的淺紅色玻璃筆,最適合用來寫信給櫻女士。

至於紙張,考慮到與玻璃筆之間的適合度,我決定搭配表面光滑的信紙。紙面會起毛的紙不適合玻璃筆,像和紙之類的紙質當然就更不行了。因為玻璃筆的筆尖很硬,容易勾到紙張表面的纖維。

最後,我挑選了比利時製造的奶油簾紋紙,這是歐洲皇室和名門貴族自古以來的御用紙品。抄紙時所使用的竹簾會在紙上留下細微的凹凸羅紋,宛如漣漪,在白色紙上留下微妙的陰影。用手觸摸時,可以感受到如同手抄紙般的溫度,溫暖而柔和,我認為最適合用來傳達園田先生的心意。

尺寸則選用和明信片一樣的大小。如果寫上好幾張信紙,會讓櫻女士感覺有壓力;但如果寄明信片,會讓第三者看到內容。我想園田先生的心意應該沒有那麼輕率。

於是,我決定採取折衷的方式,把明信片大小的信紙裝在信封裡寄出去。如此一來,信的內容就不會被櫻女士以外的人看到,也不必擔心過度詮釋園田先生的心意。

墨水要用深棕色。在聽園田先生說話時,深棕色就浮現在腦海,揮之不去。

打開深棕色墨水瓶的蓋子,將玻璃筆的筆尖浸入,毛細槽立刻吸附了墨水。前一刻還像冰柱般的透明筆尖立刻被染成了枯葉色。我先在明信片大小的紙張其中一面,用平假名寫上收信人的名字「さくら樣(Sakura sama)」。

然後,暫時放下玻璃筆,耐心等待墨水變乾。

收件人到底要寫「佐倉樣」,還是「櫻樣」,或是更正式的「佐倉櫻樣」?我實際寫在紙上研究了很久。雖然「樣」是用來表示敬稱,漢字的「樣」當然是正確的寫法,但所有的字都是漢字,感覺很不協調,也可以把「樣」這個字寫成平假名的「さま(sama)」。

通常只有對自己的晚輩或是地位比自己低的人,才會使用平假名的「さま」,但如果過去曾有過親密往來,應該不至於失禮;相反的,也許這樣更顯親切。

我也實際把「佐倉さま」「櫻さま」「佐倉櫻さま」幾種寫法寫在紙上研究,但使用漢字的「樣」,似乎更能表達園田先生端正的態度;同時,我也想表達園田先生的溫柔體貼。考慮到整體的協調性,收件人的名字使用了平假名「さくら」。至於「さくら」到底是代表「佐倉」這個姓氏,還是「櫻」這個名字,可以由收信人櫻女士自由想像,也可以讓園田先生的心意更有彈性。

在「さくら樣」這幾個字完全乾透後,我輕輕把紙翻了過來。雖然已經構思好大致的內容,但我並沒有打草稿。我想臨場發揮;而且,寫上兩、三張信紙未免太不解風情,所以我打算一口氣完成可以剛好美美地寫在一張紙上的文字量。我認為這樣更能表達園田先生的微妙心情。

調整呼吸後,我再度把玻璃筆的筆尖沉入深棕色墨水中,化身為園田先生,在為櫻女士的幸福祈禱的同時,寫下隻言片語。

尖銳的筆尖低語著「嘎嘎」的獨特聲響,編織出深棕色的話語。

筆尖完全沒有卡到紙張表面的羅紋,宛如流暢地在朝陽下的冰面上溜冰。

為了避免重要的信沾到水,特地使用具有防水功能的信封。山茶花文具店的小倉庫裡有許多上代和我努力收集來的信紙和信封,我在其中找到了尺寸適宜的塗蠟信封。

信封的紙質強韌耐衝擊,裡面的信紙一定可以送到櫻女士手上。因為擔心會碰到雨水,所以我用黑色油性細字麥克筆仔細寫下收件人的姓名和住址。至於郵票,如果是一般用黏膠黏貼的郵票,貼在有塗蠟加工的信封上可能會脫落,所以我仔細貼上了貼紙型郵票。

我挑了一張蘋果圖案的郵票。因為園田先生告訴我,他們過去兩小無猜時,曾住在以蘋果聞名的城市。

也許他們曾爬上蘋果樹嬉戲,也可能曾共享一顆蘋果。蘋果盛產的季節即將來臨,若是不了解他們關係的人,即使看了,也不會發現其中隱藏了特別的意義。

最後,我用指尖沾了些蜂蜜塗在信封封口上黏合。為了避免黏不牢,上面再用貼紙補強;雖說是貼紙,但其實是我在國外流浪時一點一點收集來的外國郵票。

完成所有作業後,我用化妝棉擦拭了殘留在玻璃筆筆尖的墨水。因為無法將所有的墨水都拭去,於是再用自來水沖洗乾淨。

深棕色很快就被水沖走,筆尖再度恢復了宛如冰柱般的透明。玻璃筆很容易因為輕微的撞擊而破損,所以用紗布手帕仔細包好後,再輕輕放回書信盒內。

中世紀時,曾將情書稱為「豔書」。園田先生寄給櫻女士的信算是豔書嗎?這封信乍看之下雖然只是普通的信,但字裡行間充滿了園田先生的心意。

如果可以協助他人傳達這分淡淡的思念,我樂此不疲。


close
貨到通知

close